- 技术文章
探地雷达“透视”城市道路:精准揪出“隐疾
2025-10-23 14:58:01 来源:深圳市鹏锦科技有限公司
探地雷达“透视”城市道路:精准揪出“隐疾
深圳市鹏锦科技有限公司,欢迎咨询18320930028赖小姐
某城市交通的枢纽地带,车流量巨大,此前已进行过多次修补作业。如今,定期巡检成为了解其健康状况、保障城市交通顺畅运行的重要举措。
某专邺检测单位受邀对该路段重点区域展开全方位检查,并将提交详尽的检测报告。
细致勘察,明晰道路情况
检测小组抵达现场后,发现路面散布着多处因不同铺装材料产生的分界线,新旧沥青接缝、混凝土与沥青过渡带也清晰可见,部分区域还有显著的二次施工痕迹,如局部修补区块、加铺层边缘等,其纹理、颜色和平整度与周边原路面存在明显差异。
基于此,本次检测的核心重点为:评估现有结构的完整性,排查加铺层内部及下方是否存在脱空、分层、非密实等隐蔽缺陷。
科技赋能,精准探测“隐疾”
为准确获取道路内部的结构信息,检测小组采用了巡鹰智检的多通道三维探地雷达Proceq GS9000进行无损探测。
在探测过程中,检测人员即可实时通过雷达深度切片和B扫图了解地下情况。
该路段的深度切片视频
如上视频,在8厘米深度处,开始出现大面积典型脱空信号(特征为高振幅、清晰边界)和非密实信号(特征为杂乱、不连续),且主要分布于60厘米深度以内。
黄色三角形表示:非密实信号
红色圆形表示:脱空信号
这表明道路下方可能存在大范围的脱空和严重不密实情况。但雷达信号中未发现明显的道路结构分层。结合现场实拍照片综合判断,该区域可能经历过多次破损与修复,且修复效果不佳。
此外,深度切片和雷达B扫图清晰显示,检测区域红框处部分存在纵横交错的钢筋网,埋深约30厘米。在钢筋网下方约42厘米(黄虚线处)可见明显的分层反射信号。
综合判断,该区域施工时可能先铺设了一层约10厘米厚的混凝土层,随后布设了钢筋网。
抽丝剥茧,深度剖析隐藏问题
除了道路整体结构问题,检测小组还对路面上的井盖周围和地下管网进行了详细检测。
雷达深度切片清晰显示了五个圆形反射信号,经与现场实拍图比对,确认其为五个市政井盖的反射信号。其中,1号与2号井盖为金属材质,3至5号井盖为混凝土材质(雷达图显示为空心)。
观察1号与2号井盖的雷达B扫图发现,其反射信号在深度方向均呈现显著的多次反射振荡效应,这是金属井盖的典型特征。
然而,与2号井盖不同的是,1号井盖边缘区域存在明显的强反射信号。结合现场照片显示1号井盖周边有修补与新施工痕迹,检测小组推断1号井盖下方可能存在脱空或缺陷,该井曾发生破损,虽经修复施工,但修复效果未达预期。
对于3至5号混凝土井盖,其雷达B扫图未出现多次反射振荡现象。
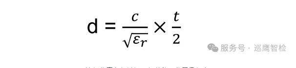
其中,4号井盖下方较深位置存在一处强反射信号(黄框标记),初步推测为竖井底板反射。通过雷达信号双程走时计算其深度,记录走时为18.6 纳秒,代入如下深度计算公式,计算得出深度约为2.79米。
其中c为真空中光速0.3米/纳秒,t为双程走时,
ε为介质相对介电常数,空气的相对介电常数为1
在地下管网检测方面,雷达B扫图及深度切片显示,在深度约40厘米处存在一个金属管道的反射信号。
此外,深度切片与雷达B扫图还清晰显示了若干明显反射信号,经现场比对确认,其反射源分别为砖块及斑马线。
新发布
-
产品搜索
-
产品分类
-
大疆无人机及负载
-
中海达PPK
-
倾斜摄影相机
-
大疆激光雷达
-
多光谱相机-无人机方案
-
金属管线探测仪
-
航拍测绘无人机
-
无人机航拍测量软件
-
管线探地雷达
-
英国雷迪综合管道检测设备
-
三维激光扫描仪
-
管道防腐层检测仪PCM
-
美国戴维斯气象站
-
求积仪
-
RTK/水准仪/经纬仪
-
碳黑吸油值测试仪
-
测距仪
-
全站仪
-
土壤硬度测试仪
-
手持GPS
-
测距轮
-
拓普康产品
-
全站扫描仪
-
工业机器人
-
GIS数据采集器
-
培训
-
粘度计
-
硬度计
-
多参数水质分析仪
-
管道潜望镜
-
管道 CCTV 检测机器人
-
气体检测
-
视觉位移实时动态监测
-
标记逆向反射
-
多气体检测
-
内窥系统
-
巡鹰智检
-
花式灭火器
-
海洋产品
-
梦芯GPS定位模块
-
甲烷和VOC检测用红外热像仪
-
中国雷迪产品
-
高光谱
-
MAC0HO
-
热敏相机
-
室内防撞无人机
-
边坡监测
-
激光雷达
-
系留
-
无人船
-






















